BTC/USD-2.22%
ETH/USD-3.26%
LTC/USD-2.4%
ADA/USD-3.2%
SOL/USD-3.14%
XRP/USD-2.16%Pensé que Uni V3 había abierto el pináculo del intercambio universal AMM, pero no esperaba que Curve V2 fuera un "Monte Kailash" más difícil. Si bien nos sorprendieron gratamente los cambios tecnológicos, nos sorprendió aún más descubrir que estos proyectos principales de DEX/AMM se están moviendo hacia un modelo de evolución de "unidad unificada", al igual que el Curve V2 del que hablaremos hoy es en realidad un Compitiendo directamente por el modelo de intercambio universal de Uniswap, y no mucho antes de eso, UniV3 también trajo oficialmente un nuevo modelo matemático para interferir e invadir el campo comercial de monedas estables que Curve V1 ha ocupado durante mucho tiempo. Este artículo intenta presentar los principios matemáticos básicos de la Curva V2 en forma de deconstrucción inversa.
Modelo básico
En pocas palabras, CurveV2 adopta una filosofía básica muy similar a UniswapV3: reunir liquidez en torno a un "punto de equilibrio". Ninguno de ellos se basó en máquinas Oracle externas para alcanzar el "punto de equilibrio", sino que se basó en el juego comercial en el sistema AMM tradicional hasta que el sistema se equilibró. En Uni V3, se llama "creador de mercado profesional LP sigue los cambios del mercado para ajustar el rango", se denomina "oráculo interno del oráculo interno" en la curva V3. Como los dos principales proyectos de AMM, se puede ver que están asombrados ante cualquier riesgo externo. Si bien no hay dependencia de factores externos, estos dos modelos, especialmente CurveV2, han brindado una solución muy superior a una serie de problemas difíciles como la pérdida impermanente, la liquidez centralizada, la mejora de la eficiencia del capital, el bajo deslizamiento y las tarifas dinámicas en el camino hacia solución de intercambio universal. Esto se debe, por supuesto, a su modelo matemático "anormal".

(Figura 1)
La parte central del modelo matemático es que crea una nueva forma de la curva. Intuitivamente a partir de la figura anterior, las dos líneas punteadas son curvas de producto constante, la línea azul es la famosa curva de intercambio de monedas estables Curve V1 y la curva amarilla construida por Curve V2 tiene dos características básicas:
(1) Entre la curva de producto constante y la curva Curva V1;
(2) Su característica de cola de curva tiene un ajuste de curva de producto constante obvio.
Entonces, ¿qué problema resuelve?
(a) Heredó las ventajas del deslizamiento ultra bajo de la Curva V1 y la liquidez acumulada en el área cercana al "punto de equilibrio";
(b) Al ajustarse entre la curva de producto constante y la curva Curva V1, y al ajustarse a la curva de producto constante en el área central de la cola de la curva, se puede obtener la ventaja de que la curva de producto constante responde rápidamente a los cambios en la fluidez. , evitando el agotamiento de la fluidez de la piscina y respuesta flexible Cambios rápidos del mercado.
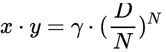
Mira directamente la expresión:
Fuentes: la firma de comercio de Wall Street, Jane Street, pedirá prestado hasta $25 millones en USDC y planea expandirse a $50 millones: Golden Finance News, la firma de comercio de Wall Street, Jane Street, pedirá prestado hasta $25 millones en USDC y planea expandirse a $50 millones, en el que planea tomar prestado de la criptoempresa Block Tower Capital y operará a través del ecosistema descentralizado de mercados de capital Clearpool. (DBNoticias)[2022/5/3 2:48:02]

(Figura 2)
A primera vista, es muy oscuro, aquí hay otra imagen compartida por KurtBarry en Twitter:

(Figura 3)
Me di cuenta un poco. Así es, la curva "anormal" de CurveV2 en realidad nace de la expresión de Curve V1.

(Figura 4: expresión de CurveV1)
Cuando K0 se acerca a 1, es decir, cuando la curva se acerca al rango del "punto de equilibrio" (comparar con la Figura 1 para comprender), toda la expresión de la Curva V2 degenerará en una expresión de la Curva V1, de modo que la curva de intercambio tiene las excelentes características de Curva V1.
La variable más complicada introducida en la fórmula es gamma, que se origina a partir de las dos curvas de producto constante en la Figura 1. La curva de producto constante superior y la expresión de la curva V1 logran conjuntamente el área del "punto de equilibrio" de la curva V2, mientras que la curva de producto constante inferior es una reducción paramétrica de la curva de producto constante superior, a saber
Curva de producto constante arriba:

Curva de producto constante a continuación:

Gamma es un pequeño decimal positivo, que sangrará el origen más que la curva superior en la forma de la curva. Como se mencionó anteriormente, CurveV2 necesita introducir una curva gamma de este tipo para que la curva V2 pueda deshacerse de las desventajas de la curva V1 en el medio y la cola (agotamiento de liquidez y respuesta rápida a los cambios en el tipo de cambio), es decir, para hacer que el curva tienen una mayor curvatura en la segunda mitad. Bajo la guía de este principio básico, necesitamos invertir para entender la composición de las expresiones——
Cuando la coordenada cambia continuamente, muévase hacia el lado opuesto de los ejes horizontal y vertical, cuanto más cerca del infinito, más se ajusta la curva V2 hacia abajo a la curva del producto constante. Es decir, K0 se acerca a la reducción de expresión gamma y CurveV2:

Mover elemento:

Obviamente, esta será una nueva curva que está sesgada hacia la curva de producto constante inferior.
Aquí, por el momento, solo podemos partir del principio básico de construcción de la curva mixta y explicar a la inversa el motivo de la formación de la expresión Curva V2, es decir, acercarnos al rango del "punto de equilibrio" y la horizontal y los extremos verticales con la idea de los límites, la expresión La reducción será la Curva V1 y la curva de producto constante respectivamente, para lograr el propósito de la Integración de la Curva V2 Uniswap y la Curva V1, para que esta compleja curva mixta pueda soportar cambio universal, y tiene mejor liquidez centralizada y ventajas de deslizamiento.Al mismo tiempo, conserva la protección de liquidez de Uniswap y sus ventajas para responder a cambios repentinos en los tipos de cambio del mercado.
Oráculo Interno
De hecho, Curve V2 también tiene una innovación muy importante: el mecanismo interno de repetición del oráculo. Este mecanismo es muy beneficioso para implementar una mejor liquidez centralizada y ralentizar la pérdida de impermanencia.
La curva V2 introduce una medida de precio de escala_precio. Por ejemplo, hay activos USDT y B_token en el grupo, el saldo es b=[1000,500] y 1 B = 2USDT en el tipo de cambio, entonces el precio es p=[1 ,2], Finalmente, multiplique para obtener un saldo a escala como x=[1000,1000].

En combinación con la Figura 1, en el punto de equilibrio, los elementos de la secuencia de equilibrio a escala son iguales (características constantes del producto)——

Con el cambio del tipo de cambio del mercado, la ocurrencia del intercambio y el impacto del comportamiento de creación de mercado de LP, el punto de coordenadas del sistema se desviará gradualmente del "punto de equilibrio" original. Si la forma de la curva no se corrige, no solo debilitar la agregación de la liquidez, sino también traer Ven pérdida impermanente. CurveV2 propuso el mecanismo MarketPrice Update para esto ——
i) oráculo del precio de la media móvil exponencial (EMA)
ii) medición de ganancias
iii)algoritmo de revisión de precios (depende de i y ii)
En pocas palabras, el sistema capturará continuamente la secuencia de movimiento del tipo de cambio en el sistema a través del mecanismo clásico del oráculo interno EMA, y luego actualizará continuamente una variable Xcp llamada la medida de ganancia (ganancia) de acuerdo con el oráculo de precios después de cada transacción y comportamiento de creación de mercado.

Esta variable se puede entender como el rango de cada desviación del precio del punto de equilibrio original.Se puede entender intuitivamente que si el tipo de cambio cambia poco, la fórmula del sistema aún se basará en el punto de equilibrio original.Si el tipo de cambio cambia mucho , el punto de coordenadas está en Si la curva se desvía mucho, el sistema debe reconstruir la fórmula y reemplazar la base de un nuevo "punto de equilibrio" para reducir las pérdidas temporales y recuperar la liquidez. La variable Xcp es un medio para cuantificar la fórmula reemplazable apropiada y el punto de equilibrio.

Como se mencionó anteriormente, cuando Xcp supere el umbral, el sistema actualizará price_scale de acuerdo con el Oracleprice actualizado en este momento, a fin de ubicar la nueva posición del punto de equilibrio para la nueva fórmula y luego actualizará el nuevo valor D para obtener el nuevo expresión.
De esta manera, la curva V1 fija original cambiará constantemente el punto de equilibrio con la gran desviación del tipo de cambio en el mercado, de modo que siempre tendrá la mayor liquidez cerca del tipo de cambio actual, resistirá oportunamente a los arbitrajistas y se ralentizará. pérdidas transitorias. Hay una definición paramétrica muy detallada de este mecanismo en el documento, que también es la complejidad de la implementación.
Resumen
Michael Egorov, como siempre, es reacio a decir mucho, por lo que vemos que Curve V2 es muy oscuro. Este artículo presenta los dos principales mecanismos innovadores de V2: nuevas curvas y repegging. Esta nueva curva no solo es estáticamente compleja, sino que también tiene propiedades dinámicas, que pueden compensarse de acuerdo con el sistema de respuesta inteligente EMA y Xcp, de modo que la liquidez del grupo puede maximizarse dentro del rango de tipo de cambio actual, lo que mejora en gran medida la eficiencia dinámica del capital, que es posible Un lugar para ir más allá de Uni V3. Eventualmente encontraremos que CurveV2 se puede recombinar con Uni V3.
Tags:
El viaje transfronterizo de las monedas digitales parece estar convirtiéndose en una realidad.El 10 de junio, hora local.
DeFi todavía se enfocaba principalmente en préstamos a principios de 2020, pero hoy en día sus casos de uso se han expandido al comercio, activos sintéticos.
Esta actualización de Taproot brindará un mayor nivel de protección de la privacidad y tarifas de transacción más bajas. Resumen 1. La actualización Taproot de la red BTC se llevará a cabo en noviembre de 2021.2.
Pensé que Uni V3 había abierto el pináculo del intercambio universal AMM, pero no esperaba que Curve V2 fuera un "Monte Kailash" más difícil. Si bien nos sorprendieron gratamente los cambios tecnológicos.
¿Quiere solicitar fondos de la tesorería de Polkadot/Kusama? Este tipo de propuestas recibirán atención en el futuro.
Si el motor de innovación de la industria de las criptomonedas en los últimos 10 años se ha centrado en resolver los problemas de desarrollo de la propia industria, entonces, a partir de 2020.
Este artículo fue editado originalmente por ZB Research Institute Resumen de puntos calientes: 1. La policía de Corea del Sur recuperó 1360 ETH robados de un intercambio en 2018;2.